鱔魚以其肉質鮮美、營養豐富而受到人們的喜愛。當今市場上即食鱔魚休閑制品較少,將營養豐富的鱔魚加工成即食休閑制品,可以提高它們的附加值。
實驗材料鱔魚購于武漢白沙洲水產品批發市場,200±50g/條;食鹽、蔥、姜、料酒、白砂糖、松茸鮮、孜然粉、椒鹽、薄荷粉 購于武漢悅活里超市南湖店;陳皮 購于廣西金鳳生態種養合作社,后于實驗室磨粉并過60目篩。石油醚、冰醋酸、鹽酸、液體石蠟、2-硫代巴比妥酸、氯化鈉、PCA培養基、輕質氧化鎂、硼酸、甲基紅、澳甲酚綠等試劑均為分析純 國藥集團化學試劑有限公司。
02
感官評價
二、結果與分析
01 油炸時間的確定

02
陳皮粉添加量的確定
03
滅菌方式的確定
04 即食陳皮鱔魚貯藏期間理化性質變化
三、結論
本文在川菜陳皮鱔段烹飪工藝的基礎上,通過單因素實驗對即食陳皮鱔魚加工工藝進行優化,本研究的開展為豐富即食類鱔魚加工產品、提升鱔魚加工技術水平提供了理論基礎。
一、材料與方法
01
01
02
感官評價
將陳皮鱔魚切成1cmx1 cm的小塊,并隨機放置,標記三位數字代碼。本次感官評定小組由20名經過專業食品感官評價培訓的成員組成,其中包括10名男性和10名女性,年齡范圍在23至28歲之間。所有評定員在參與評估之前,均已對陳皮鱔魚的感官評價表(表1)進行了充分的熟悉和學習。樣品評分評價采用9點喜好標度法,根據前期試驗制備的陳皮鱔魚感官評價參照表,要求評定員對樣品的喜好度評級進行打分。具體為:1=極度不喜歡,2=非常不喜歡,3=比較不喜歡,4-輕微不喜歡,5-不喜歡也不討厭,6=輕微喜歡,7=比較喜歡,8=非常喜歡,9=極度喜歡。


01
產品的感官特性是決定產品是否被消費者接受的首要因素。對不同油炸時間的即食陳皮鱔魚感官評價繪制南丁格爾玫瑰圖,通過品質的輪廓分析油炸時間對陳皮鱔魚的影響,發現油炸條件的變化會引起感官品質的顯著變化,結果如圖3所示。隨油炸時間的延長,即食陳皮鱔魚總分呈先上升后下降的趨勢,其中4 min的感官評價的總分最高。此外,隨油炸時間延長,鱔魚的顏色由深棕色向淺黃色轉變,且風味逐漸變得濃郁,這是由于油炸賦予了鱔魚肉金黃的色澤、酥脆的質地及誘人的香味。油炸時間較短(2 min)時,魚肉水分含量較高,魚肉顏色偏淺,且分布不均勻;魚肉咀性較差,魚皮偏軟。油炸時間較長(8 min)時,魚肉脫水嚴重,變得干硬,難以咀嚼,適口性較差,魚皮焦糊,口感較差;魚肉顏色焦黑,感官較差;且失去了魚肉油炸的香味,取而代之的是過度油炸后的油焦味產品的可接受性大大降低。而油炸4 min的魚肉外表酥脆、魚肉有韌性,咀嚼性較好,魚肉完整度較高;魚皮金黃,魚肉呈現油炸典型的焦黃色;魚肉具有明顯的油炸油脂香味。
綜合考慮理化指標和感官評價的結果,選擇最佳油炸時間為4 min。

不同陳皮粉添加量對即食陳皮鱔魚感官評價的影響結果如圖6所示。隨陳皮粉添加量的增加,即食陳皮鱔魚總分呈先上升后下降的趨勢,其中10%陳皮粉添加量的感官評定的總分最高。適量的陳皮粉添加可以增加產品風味,減緩油炸帶來的不良油脂風味。但過量的陳皮粉添加會帶來苦味和澀味等不良風味,導致產品口感下降,消費者接受度降低。因此,綜合考慮電子鼻、電子舌和感官評價的結果,即食陳皮鱔魚調味料中陳皮粉最佳添加量為10%。

03
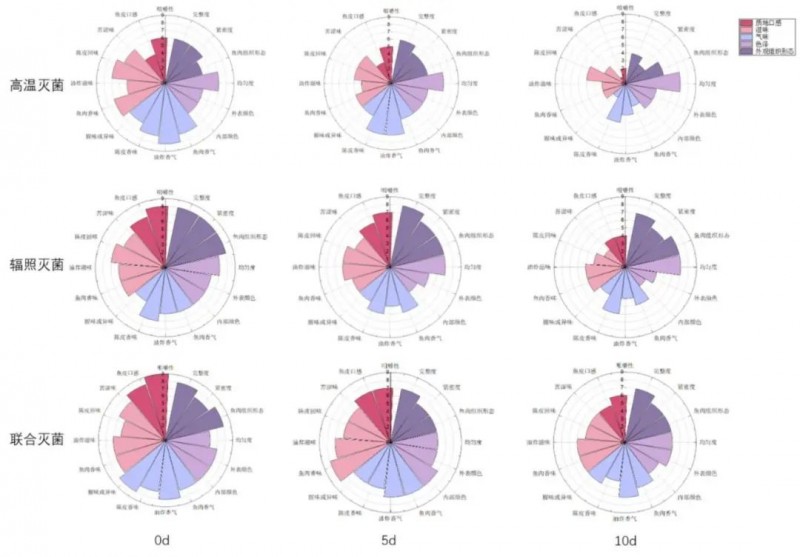
不同滅菌方式對即食陳皮鱔魚感官評價的影響結果如圖8所示。隨貯藏時間的增加,即食陳皮鱔魚感官評分呈逐漸下降的趨勢。即食陳皮鱔魚肉質逐漸松散,呾性下降;汁水流出,表面濕潤,感官較差;陳皮味逐漸減弱,肉香逐漸消失,食用品質下降。在貯藏后期,聯合滅菌處理組感官評定的總分最高。綜合考慮TVC、TVB-N、TBA、pH和感官評價的結果,發現高溫聯合輻照滅菌處理有利于延緩即食陳皮鱔魚貯藏過程中微生物繁殖、蛋白質分解和脂質氧化,能有效保持產品品質。因此,選擇最適滅菌方式為聯合滅菌法。

如圖13所示,隨著貯藏時間延長,即食陳皮鱔魚肉質松散,汁液滲出,咀嚼性下降,油炸香味、陳皮味逐漸消失,產品品質逐漸劣變。三個溫度的感官評價都呈逐漸下降的趨勢,且溫度越高產品品質劣變越快。根據感官評價表,當感官評分低于20分時達到不可接受范圍,37℃、25℃和10℃分別在第12d、25d和60d低于20分,達到不可接受范圍。

通過工藝優化即食陳皮鱔魚的最佳油炸時間為4 min、陳皮粉最適添加量為10%、最適滅菌方式為高溫滅菌聯合輻照滅菌。此時的即食陳皮鱔魚具有較適宜的水分含量和油脂含量,具有較好的持水持油率,陳皮味與油炸產生的香味為產品帶來了豐富的口感。聯合滅菌在保持產品品質的同時有效抑制微生物生長,減緩油脂氧化、蛋白質分解,延長其貯藏期。通過監測即食陳皮鱔魚在37 ℃、25C和10 ℃貯藏條件下的品質變化,發現隨著貯藏時間延長,即食陳皮鱔魚樣品的TVC、TVB-N和TBA都呈逐漸上升的趨勢,感官評價呈逐漸下降趨勢,且貯藏溫度越高,產品品質劣變越快。根據TVC、TVB-N和TBA在不同貯藏溫度下的變化,建立了即食陳皮鱔魚的貨架期預測模型,其中TVC貨架期預測模型在37℃下貨架期預測為11.49天、25 ℃下貨架期預測為22.14天,10 ℃下貨架期預測為5433天,經驗證與真實貨架期相對誤差為0.62%~4.45%,相對誤差最小,模型精準度更高。本研究的開展為豐富即食類鱔魚加工產品、提升鱔魚加工技術水平提供了理論基礎。
來源:感官科學與評定。封面圖及文章配圖來源:創客貼。
參考文獻:阮珊艷,姜金輝,周志,等.即食陳皮鱔魚加工工藝優化及貨架期預測[J/OL].食品工業科技,1-20[2025-08-26].
提醒:文章僅供參考,如有不當,歡迎留言指正和交流。且讀者不應該在缺乏具體的專業建議的情況下,擅自根據文章內容采取行動,因此導致的損失,此公眾號運營方不負責。如文章涉及侵權或不愿我平臺發布,請聯系處理。